Bramki kwantowe

Bramki dwukubitowe

Zobaczmy jak działa bramka CNOT (CX) na stany bazy obliczeniowej.

import pennylane as qml
import pennylane.numpy as np

dev = qml.device('default.qubit', wires=2)

@qml.qnode(dev)
def circ(stan='0'):
    if stan == '1':
        qml.X(wires=0)
    qml.CNOT(wires=[0,1])
    # qml.CNOT(wires=[1,0])
    return qml.state()


state = circ()
print(state)
[1.+0.j 0.+0.j 0.+0.j 0.+0.j]
state = circ('1')
print(state)
[0.+0.j 0.+0.j 0.+0.j 1.+0.j]
qml.draw_mpl(circ)()

qml.draw_mpl(circ)('1')

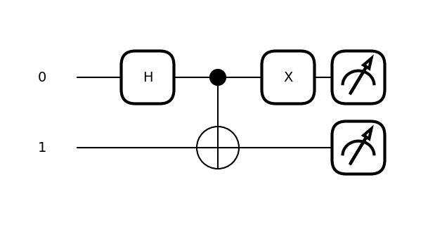
Rozpatrzmy teraz co się dzieje kiedy stan kontrolny jest superpozycją stanów bazowych.

@qml.qnode(dev)
def circ2():
    qml.H(wires=0)
    qml.CNOT(wires=[0,1])
    return qml.state()


state = circ2()
print(state)
[0.70710678+0.j 0.        +0.j 0.        +0.j 0.70710678+0.j]
qml.draw_mpl(circ2)()

Otrzymany stan końcowy nazywamy stanem Bella.

import pennylane as qml
import matplotlib.pyplot as plt

SHOTS = 10000
ALL_STATES = ['00', '01', '10', '11']
dev = qml.device("default.qubit", wires=2, shots=SHOTS)

def plot_counts_histogram(counts, title):
    """Generuje histogram, wyświetlając wszystkie 4 stany (00, 01, 10, 11)."""
    full_counts = {state: counts.get(state, 0) for state in ALL_STATES}
    probabilities = [full_counts[state] / SHOTS for state in ALL_STATES]
    
    plt.figure(figsize=(7, 5))
    plt.bar(ALL_STATES, probabilities, color='teal')
    plt.xlabel("Stan Końcowy ($|q_1 q_0 \\rangle$)")
    plt.ylabel("Prawdopodobieństwo")
    plt.title(title + f" ({SHOTS} shots)")
    plt.ylim(0, 1.1)
    plt.grid(axis='y', alpha=0.5)

    for i, prob in enumerate(probabilities):
        plt.text(i, prob + 0.02, f'{prob:.3f}', ha='center', fontsize=10)

    plt.show()


@qml.qnode(dev)
def circ_bell():
    """Stan Bella: splątanie, wynik powinien być ~50% '00' i ~50% '11'"""
    qml.H(wires=0)
    qml.CNOT(wires=[0, 1])
    return qml.counts()

@qml.qnode(dev)
def circ_h_h():
    """Hadamard na obu: superpozycja, wynik ~25% dla każdego stanu"""
    qml.H(wires=0)
    qml.H(wires=1)
    return qml.counts()

@qml.qnode(dev)
def circ_zero():
    """Stan zerowy: wynik 100% '00'"""
    # Brak bramek oznacza stan początkowy |00>
    return qml.counts()
/Users/seba/Documents/GitHub/qml2025/venv/lib/python3.13/site-packages/pennylane/devices/device_api.py:193: PennyLaneDeprecationWarning: Setting shots on device is deprecated. Please use the `set_shots` transform on the respective QNode instead.
  warnings.warn(
# Wywołanie dla Stanu Bella
print("Symulacja Stanu Bella...")
counts_bell = circ_bell() 
plot_counts_histogram(counts_bell, "Stan Bella ($|\\Phi^+ \\rangle$)")
Symulacja Stanu Bella...

# Wywołanie dla H-H (Równomierna superpozycja)
print("Symulacja H-H...")
counts_hh = circ_h_h()
plot_counts_histogram(counts_hh, "Superpozycja H-H")
Symulacja H-H...

# Wywołanie dla Stanu Zerowego
print("Symulacja Stanu Zerowego...")
counts_zero = circ_zero()
plot_counts_histogram(counts_zero, "Stan Bazowy $|00\\rangle$")
Symulacja Stanu Zerowego...

Kopiowanie Kubitu

Klasyczne komputery bardzo często wykorzystując operację kopiowania.

Zobaczmy jak taka operacja wygląda dla kubitów.

Rozwazmy obwod z operatorem C, który w działaniu na dwa kubity kopiuje wartość pierwszego kubitu na wynik drugiego. Drugi kubit mozna na początku ustawić w dowolnym stanie.

Chcemy skopiować stan \(\ket{\psi_0} = a\ket{0} + b\ket{1}\)

Stan początkowy układu: \(\ket{\psi_0} \otimes \ket{0}\)

Chcemy przekształcić na \(\ket{\psi_0} \otimes \ket{\psi_0}\) czyli

\[ C \left(\ket{\psi_0} \otimes \ket{0}\right) = \ket{\psi_0} \otimes \ket{\psi_0} \]

Lewa strona

\[ C \left(\ket{\psi_0} \otimes \ket{0}\right) = C\left( (a\ket{0} + b\ket{1} ) \otimes \ket{0} \right) \] \[ C\left( a\ket{0} \otimes \ket{0} + b\ket{1}\otimes \ket{0} \right) = a C \left(\ket{0} \otimes \ket{0}\right) + b C \left( \ket{1}\otimes \ket{0}\right) \] \[ a \ket{00} + b \ket{11} \]

Prawa strona \[ \ket{\psi_0} \otimes \ket{\psi_0} = a^2 \ket{00} + ab\ket{01} + ab\ket{10} + b^2\ket{11} \]

Zadanie

Napisz operator 1+1 na układzie 4 kubitów

\[ 0+0 = 00 \] \[ 0+1 = 01 \] \[ 1+0 = 01 \] \[ 1+1 = 10 \]

zauwaz, ze mamy dwa typy rozwiązań:

  • dwa bity wejsciowe są takie same (00, 11) i dają na prawym bicie odpowiedzi 0.
  • dwa bity wejsciowe są rózne (10,01) i dają na prawym bicie odpowiedzi 1.

Aby napisać prawidłowe rozwiązanie musimy stworzyć bramki, które będą rozpoznawać czy dwa kubity są takie same czy tez rózne. Dla przypomnienia - klasycznie rolę taką pełni bramka XOR.

Input 1 Input 2 XOR
0 0 0
0 1 1
1 1 1
1 0 0

Podobnie działa bramka CNOT

dev = qml.device('default.qubit', wires=4, shots=1)

@qml.qnode(dev)
def qc(input='00'):
    if input[0]=='1':
        qml.X(wires=0)
    if input[1]=='1':
        qml.X(wires=1)
    qml.CNOT(wires=[0,3])
    qml.CNOT(wires=[1,3])
    #return qml.state()
    return qml.counts(wires=[2,3])

qc()
/Users/seba/Documents/GitHub/qml2025/venv/lib/python3.13/site-packages/pennylane/devices/device_api.py:193: PennyLaneDeprecationWarning: Setting shots on device is deprecated. Please use the `set_shots` transform on the respective QNode instead.
  warnings.warn(
{np.str_('00'): np.int64(1)}
fig, ax = qml.draw_mpl(qc)()
plt.show()

for input in ['00','01','10','11']:
    print(f"wartosci poczatkowe: {input} : wynik {qc(input)}")
wartosci poczatkowe: 00 : wynik {np.str_('00'): np.int64(1)}
wartosci poczatkowe: 01 : wynik {np.str_('01'): np.int64(1)}
wartosci poczatkowe: 10 : wynik {np.str_('01'): np.int64(1)}
wartosci poczatkowe: 11 : wynik {np.str_('00'): np.int64(1)}

Zastosowanie dwóch CNOT do inputów rozwiązuje nam problem prawego bitu odpowiedzi.

Co z pierszym bitem odpowiedzi otrzymywanym po pomiarzze q3 ?

  • jego wartość dla pierwszych trzech równań zawsze wynosi 0.

Jednak dla równania 1+1 powinniśmy otrzymać 1.

Do rozwiązania tego problemu mozna wykorzystać bramkę operującą na 3 kubitach. Bramka ta to bramka Toffoli.

import pennylane as qml
from pennylane import numpy as np 

dev = qml.device('default.qubit', wires=4, shots=1)

@qml.qnode(dev)
def qc():
    qml.X(wires=0)
    qml.X(wires=1)
    qml.CNOT([0,1])
    qml.CNOT([0,2])
    qml.Toffoli([0,1,3])
    return qml.counts(wires=[2,3])

qc()

print("wynik 1+1 =",int('10', 2))
wynik 1+1 = 2
/Users/seba/Documents/GitHub/qml2025/venv/lib/python3.13/site-packages/pennylane/devices/device_api.py:193: PennyLaneDeprecationWarning: Setting shots on device is deprecated. Please use the `set_shots` transform on the respective QNode instead.
  warnings.warn(
dev = qml.device('default.qubit', wires=4, shots=1)

@qml.qnode(dev)
def qc(input='00'):
    if input[0]=='1':
        qml.X(wires=0)
    if input[1]=='1':
        qml.X(wires=1)
    qml.CNOT(wires=[0,3])
    qml.CNOT(wires=[1,3])
    qml.Toffoli(wires=[0,1,2])
    #return qml.state()
    return qml.counts(wires=[2,3])
for input in ['00','01','10','11']:
    print(f"wartosci poczatkowe: {input} : wynik {qc(input)}")
wartosci poczatkowe: 00 : wynik {np.str_('00'): np.int64(1)}
wartosci poczatkowe: 01 : wynik {np.str_('01'): np.int64(1)}
wartosci poczatkowe: 10 : wynik {np.str_('01'): np.int64(1)}
wartosci poczatkowe: 11 : wynik {np.str_('10'): np.int64(1)}
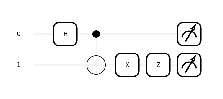
# 2. Stan Phi Minus (|Φ-⟩) -> 1/√2 (|00⟩ - |11⟩)
# Przy pomiarze counts wygląda tak samo jak |Φ+⟩, różni się fazą (minus).
@qml.qnode(dev)
def circ_phi_minus():
    qml.H(wires=0)
    qml.CNOT(wires=[0, 1])
    qml.X(wires=0)    
    return qml.counts()

fig, ax = qml.draw_mpl(circ_phi_minus)()
plt.show()

# Rysowanie Phi Minus
counts_phi_minus = circ_phi_minus()
plot_counts_histogram(counts_phi_minus, "Stan Bella $|\Phi^- \\rangle$")
<>:15: SyntaxWarning: invalid escape sequence '\P'
<>:15: SyntaxWarning: invalid escape sequence '\P'
/var/folders/53/b8z3c5xs0l51w2mzflnyk6400000gn/T/ipykernel_46886/2338609265.py:15: SyntaxWarning: invalid escape sequence '\P'
  plot_counts_histogram(counts_phi_minus, "Stan Bella $|\Phi^- \\rangle$")

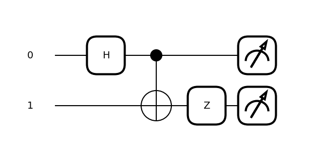
@qml.qnode(dev)
def circ_psi_plus():
    qml.H(wires=0)
    qml.CNOT(wires=[0, 1])
    qml.Z(wires=1)          # Zmiana stanu wejściowego na |01⟩
    return qml.counts()

fig, ax = qml.draw_mpl(circ_psi_plus)()
plt.show()

# Rysowanie Psi Plus
counts_psi_plus = circ_psi_plus()
plot_counts_histogram(counts_psi_plus, "Stan Bella $|\Psi^+ \\rangle$")
<>:13: SyntaxWarning: invalid escape sequence '\P'
<>:13: SyntaxWarning: invalid escape sequence '\P'
/var/folders/53/b8z3c5xs0l51w2mzflnyk6400000gn/T/ipykernel_46886/1188501442.py:13: SyntaxWarning: invalid escape sequence '\P'
  plot_counts_histogram(counts_psi_plus, "Stan Bella $|\Psi^+ \\rangle$")

@qml.qnode(dev)
def circ_psi_minus():
    qml.Hadamard(wires=0)
    qml.CNOT(wires=[0,1])
    qml.X(wires=1)
    qml.Z(wires=1)
    return qml.counts()

fig, ax = qml.draw_mpl(circ_psi_minus)()
plt.show()

# Rysowanie Psi Minus
counts_psi_minus = circ_psi_minus()
plot_counts_histogram(counts_psi_minus, "Stan Bella $|\Psi^- \\rangle$")
<>:14: SyntaxWarning: invalid escape sequence '\P'
<>:14: SyntaxWarning: invalid escape sequence '\P'
/var/folders/53/b8z3c5xs0l51w2mzflnyk6400000gn/T/ipykernel_46886/2492143563.py:14: SyntaxWarning: invalid escape sequence '\P'
  plot_counts_histogram(counts_psi_minus, "Stan Bella $|\Psi^- \\rangle$")

@qml.qnode(dev)
def circ3(theta):
    qml.H(wires=0)
    qml.CNOT(wires=[0,1])
    qml.RZ(theta, wires=0)
    return qml.probs(wires=[0,1])


state = circ3(np.pi)
print(state)
[0.5026 0.     0.     0.4974]
qml.draw_mpl(circ3)(np.pi)

Bramka (i operator) Z, w bazie obliczeniowej dany jest macierzą: \[ \textbf{Z} = \begin{bmatrix} 1 \,\,\,\,\,\,\,\, 0 \\ 0 \,\, -1 \end{bmatrix} \]

Operator ten mierzy różnicę pomiędzy prawdopodobieństwem, że kubit jest w stanie \(\ket{0}\) a prawdopodobieństwem, że jest w stanie \(\ket{1}\)

W ogólności wartość oczekiwana (wartość średnia wyniku pomiaru w bazie operatora Z) dana jest wzorem: \[ \textbf{<Z>} = \bra{\psi} \textbf{Z} \ket{\psi} \]

Niech \[ \ket{\psi} = \alpha\ket{0} + \beta\ket{1} \] wtedy \[ \bra{\psi} = \alpha^*\bra{0} + \beta^*\bra{1} \]

Możemy obliczyć: \[ \bra{\psi} \textbf{Z} \ket{\psi} = (\alpha^*\bra{0} + \beta^*\bra{1} ) \,\,\, Z \,\,\,(\alpha\ket{0} + \beta\ket{1}) = |\alpha|^2 - |\beta|^2 \] Czyli dla kubitu w stanie \(\ket{0}\) \[ \textbf{<Z>} = 1 \] Dla kubitu w stanie \(\ket{1}\) \[ \textbf{<Z>} = -1 \] Dla kubitu w superpozycji \(\ket{0} +\ket{1}\) \[ \textbf{<Z>} = 0 \]

# wartosc oczekiwana 

dev = qml.device('default.qubit', wires=1)

@qml.qnode(dev)
def qc(test='0'):
    if test == '1':
        qml.X(wires=0)
    return qml.expval(qml.PauliZ(wires=0))
qml.draw_mpl(qc)()

qml.draw_mpl(qc)('1')

qc(), qc('1')
(np.float64(1.0), np.float64(-1.0))
dev = qml.device('default.qubit', wires=1)
@qml.qnode(dev)
def qn(theta):
    qml.X(wires=0)
    qml.RY(theta, wires=0)
    return qml.expval(qml.PauliZ(0))


theta = 3.14 # tak nie !!!
theta = np.array([3.13], requires_grad=True)

opt = qml.GradientDescentOptimizer(stepsize=0.1)

epochs = 100
for epoch in range(epochs):
    theta, cost = opt.step_and_cost(qn, theta)
    if epoch % 10 == 0:
        print(f"Theta: {theta}, Cost: {cost}")
Theta: [3.12884076], Cost: [0.99993281]
Theta: [3.10851975], Cost: [0.99954803]
Theta: [3.0558488], Cost: [0.99696296]
Theta: [2.91986733], Cost: [0.97972892]
Theta: [2.57778269], Cost: [0.87049361]
Theta: [1.8364975], Cost: [0.35163303]
Theta: [0.88932495], Cost: [-0.56371304]
Theta: [0.33249582], Cost: [-0.93286178]
Theta: [0.11704127], Cost: [-0.99156122]
Theta: [0.04085768], Cost: [-0.99896979]

🧐 Wyjaśnienie Działania Funkcji Kosztu w VQA (Mini-Eksperyment)

W tym prostym eksperymencie z Wariacyjnym Algorytmem Kwantowym (VQA), optymalizator (Gradient Descent) minimalizuje funkcję kosztu, choć nie została ona jawnie zdefiniowana jako np. Mean Squared Error (MSE). Dzieje się tak, ponieważ w bibliotekach takich jak PennyLane, optymalizator domyślnie przyjmuje, że to, co zwraca \(\mathbf{QNode}\) jest funkcją celu, którą należy minimalizować.

1. Definicja Kosztu Przez Operator PauliZ

Twój obwód qn(theta) jest zdefiniowany następująco:

\[\mathbf{qn}(\theta) = \bra{\psi(\theta)} \mathbf{Z} \ket{\psi(\theta)} = \langle \mathbf{Z} \rangle\]

Ponieważ \(\mathbf{qn}(\theta)\) zwraca Wartość Oczekiwaną operatora PauliZ (\(\langle \mathbf{Z} \rangle \in [-1, 1]\)), optymalizator traktuje ten wynik jako funkcję kosztu \(\mathbf{C}(\theta)\), którą należy sprowadzić do najniższej możliwej wartości, czyli \(-1\).

\[\text{Optymalizator dąży do minimalizacji: } \mathbf{C}(\theta) = \langle \mathbf{Z} \rangle\]

2. Cel Obwodu Kwantowego

W tym kontekście, obwód VQA jest używany do znalezienia stanu własnego operatora \(\mathbf{Z}\) odpowiadającego najniższej wartości własnej (\(\lambda = -1\)). Jest to analogiczne do algorytmu Variational Quantum Eigensolver (VQE), który służy do znajdowania energii stanu podstawowego (najniższej wartości własnej Hamiltonianu).

  • Pożądany Stan: Stan \(\ket{1}\), dla którego \(\mathbf{Z}\ket{1} = -1\ket{1}\) (minimalna wartość oczekiwana).
  • Architektura Obwodu:
    1. qml.X(wires=0): Ustawia kubit w stan \(\ket{1}\).
    2. qml.RY(theta, wires=0): Wprowadza parametr \(\theta\), który perturbuje stan \(\ket{1}\).
  • Działanie Optymalizatora: Zaczynając z \(\theta\) bliskim zera (gdzie \(\langle \mathbf{Z} \rangle \approx -1\)), optymalizator bardzo szybko dąży do kąta \(\theta\), który minimalizuje perturbację, czyli \(\theta \to 0\) lub \(\theta \to 2\pi\). W tych punktach stan wraca do \(\ket{1}\), a koszt osiąga swoje minimum \(-1\).

💡 Podsumowanie

Eksperyment ten demonstruje podstawową funkcjonalność wariacyjnego uczenia maszynowego w kwantowym kontekście, gdzie sam obwód kwantowy może definiować funkcję celu (Hamiltonian), a klasyczny optymalizator znajduje parametry \(\theta\), które minimalizują tę funkcję. Jest to archetyp podejścia hybrydowego (klasyczny optymalizator + kwantowe przetwarzanie).


import pennylane as qml
import pennylane.numpy as np
import matplotlib.pyplot as plt

# 1. Definicja Urządzenia i Obwodu Kwantowego
dev = qml.device('default.qubit', wires=1)

@qml.qnode(dev)
def qn(theta):
    qml.X(wires=0)       # Ustawia stan na |1> (expval Z = -1)
    qml.RY(theta, wires=0) # Obrót wokół Y (zmienia expval Z)
    return qml.expval(qml.PauliZ(0)) # Funkcja celu: minimalizujemy expval Z

# 2. Inicjalizacja Parametrów i Optymalizatora
# Zaczynamy z theta, gdzie koszt nie jest minimalny, aby zobaczyć proces optymalizacji.
# Np. theta = pi/2, gdzie RY(pi/2) na |1> daje 1/sqrt(2)(|1> - |0>), a expval Z = 0.
theta_init = np.array([np.pi-0.01], requires_grad=True) 
opt = qml.GradientDescentOptimizer(stepsize=0.1)

epochs = 100

# Listy do przechowywania historii treningu
cost_history = []
theta_history = []

# 3. Pętla Treningowa
theta = theta_init # Ustawienie początkowej wartości theta

print("--- Rozpoczęcie treningu ---")
for epoch in range(epochs):
    # Wykonaj krok optymalizatora i oblicz koszt
    theta, cost = opt.step_and_cost(qn, theta)
    
    # Zapisz historię
    cost_history.append(cost)
    theta_history.append(theta[0]) # theta jest tablicą numpy, bierzemy tylko wartość

    if epoch % 10 == 0 or epoch == epochs - 1:
        print(f"Epoka: {epoch:3d} | Kąt theta: {theta.item():.4f} | Koszt: {cost.item():.4f}")

print("\n--- Trening zakończony ✅ ---")
print(f"Końcowy kąt theta: {theta.item():.4f}") 
print(f"Końcowy koszt: {cost.item():.4f}")

# 4. Wizualizacja Historii Treningu
fig, axes = plt.subplots(1, 2, figsize=(14, 5))

# Wykres kosztu
axes[0].plot(range(epochs), cost_history, color='blue', linewidth=2)
axes[0].set_title('Ewolucja Funkcji Kosztu')
axes[0].set_xlabel('Epoka')
# POPRAWIONA LINIA: Poprawna składnia LaTeX dla wartości oczekiwanej
axes[0].set_ylabel('Koszt ($\langle \\mathbf{Z} \\rangle$)') 
axes[0].grid(True, linestyle='--', alpha=0.6)
axes[0].axhline(-1, color='red', linestyle=':', label='Minimum teoretyczne (-1)', alpha=0.7)
axes[0].legend()


# Wykres kąta theta
axes[1].plot(range(epochs), theta_history, color='green', linewidth=2)
axes[1].set_title('Ewolucja Kąta $\\theta$')
axes[1].set_xlabel('Epoka')
axes[1].set_ylabel('Kąt $\\theta$ (Radiany)')
axes[1].grid(True, linestyle='--', alpha=0.6)
axes[1].axhline(0, color='red', linestyle=':', label='Wartość optymalna (0 lub $2\\pi$)', alpha=0.7)
axes[1].axhline(2 * np.pi, color='red', linestyle=':', alpha=0.7)
axes[1].legend()

plt.tight_layout() # Teraz powinno działać poprawnie
plt.show()
--- Rozpoczęcie treningu ---
Epoka:   0 | Kąt theta: 3.1306 | Koszt: 1.0000
Epoka:  10 | Kąt theta: 3.1131 | Koszt: 0.9997
Epoka:  20 | Kąt theta: 3.0676 | Koszt: 0.9977
Epoka:  30 | Kąt theta: 2.9502 | Koszt: 0.9849
Epoka:  40 | Kąt theta: 2.6524 | Koszt: 0.9022
Epoka:  50 | Kąt theta: 1.9802 | Koszt: 0.4770
Epoka:  60 | Kąt theta: 1.0194 | Koszt: -0.4456
Epoka:  70 | Kąt theta: 0.3899 | Koszt: -0.9082
Epoka:  80 | Kąt theta: 0.1377 | Koszt: -0.9883
Epoka:  90 | Kąt theta: 0.0481 | Koszt: -0.9986
Epoka:  99 | Kąt theta: 0.0186 | Koszt: -0.9998

--- Trening zakończony ✅ ---
Końcowy kąt theta: 0.0186
Końcowy koszt: -0.9998
<>:53: SyntaxWarning: invalid escape sequence '\l'
<>:53: SyntaxWarning: invalid escape sequence '\l'
/var/folders/53/b8z3c5xs0l51w2mzflnyk6400000gn/T/ipykernel_46886/4293797474.py:53: SyntaxWarning: invalid escape sequence '\l'
  axes[0].set_ylabel('Koszt ($\langle \\mathbf{Z} \\rangle$)')

\[\mathbf{R_X}(\theta) \ket{0} = \cos\left(\frac{\theta}{2}\right) \ket{0} - i \sin\left(\frac{\theta}{2}\right) \ket{1} \] Wtedy wartość oczekiwana operatora \(\mathbf{Z}\) jest równa: \[\langle \mathbf{Z} \rangle = \cos(\theta) \] Ponieważ funkcja \(\cos(\theta)\) jest ciągła i przyjmuje wartości w zakresie \([-1, 1]\), jej wykres idealnie demonstruje to, co chcesz osiągnąć.

import pennylane as qml 
import pennylane.numpy as np 
import matplotlib.pyplot as plt 
# 1. Definicja Urządzenia (1 kubit) 
dev = qml.device('default.qubit', wires=1) 
# 2. Poprawiony Obwód Kwantowy z Parametryczną Bramką RX 
@qml.qnode(dev) 
def continuous_expval(theta): 
    """ Obwód stosuje rotację RX z kątem theta. Zwraca wartość oczekiwaną operatora PauliZ, która jest równa cos(theta). """ 
    # Zastosowanie bramki obrotu RX 
    qml.RX(theta, wires=0) 
    return qml.expval(qml.PauliZ(wires=0)) 
# 3. Generowanie Danych 
# # Tworzymy wektor kątów theta od 0 do 2*pi (pełny obrót) 
theta_vals = np.linspace(0, 2 * np.pi, 100) 
# Obliczamy wartość oczekiwaną dla każdego kąta 
expval_vals = [continuous_expval(theta) for theta in theta_vals] 
# 4. Wizualizacja Wyników 
plt.figure(figsize=(8, 5)) 
plt.plot(theta_vals, expval_vals, label=r'$\langle \mathbf{Z} \rangle = \cos(\theta)$', color='darkred', linewidth=3)
plt.axhline(0, color='gray', linestyle='--', linewidth=0.8) 
# Linia y=0 
plt.axhline(1, color='green', linestyle=':', linewidth=0.8) # Linia y=1 
plt.axhline(-1, color='green', linestyle=':', linewidth=0.8) # Linia y=-1 
# Oznaczenia 
plt.title(r'Wartość oczekiwana $\langle \mathbf{Z} \rangle$ jako funkcja kąta obrotu $\theta$') 
plt.xlabel(r'Kąt obrotu $\theta$ (Radiany)') 
plt.ylabel(r'Wartość Oczekiwana $\langle \mathbf{Z} \rangle \in [-1, 1]$') 
plt.xticks([0, np.pi/2, np.pi, 3*np.pi/2, 2*np.pi], [r'$0$', r'$\pi/2$', r'$\pi$', r'$3\pi/2$', r'$2\pi$']) 
plt.grid(True, linestyle='-', alpha=0.3) 
plt.legend() 
plt.show()

# --- Dodanie Oznaczenia dla Bramki X (theta = pi) ---
pi_angle = np.pi
pi_expval = continuous_expval(pi_angle) # Wartość oczekiwana = -1.0

# Pionowa linia w theta = pi
plt.axvline(pi_angle, color='blue', linestyle='-.', linewidth=1.5, alpha=0.7)
# Punkt na wykresie
plt.plot(pi_angle, pi_expval, marker='o', color='blue', markersize=8, label=r'Punkt $\mathbf{X} = \mathbf{R_X}(\pi)$')

# Oznaczenia
plt.title(r'Wartość oczekiwana $\langle \mathbf{Z} \rangle$ jako funkcja kąta obrotu $\theta$')
plt.xlabel(r'Kąt obrotu $\theta$ (Radiany)')
plt.ylabel(r'Wartość Oczekiwana $\langle \mathbf{Z} \rangle \in [-1, 1]$')
plt.xticks([0, np.pi/2, np.pi, 3*np.pi/2, 2*np.pi], 
           [r'$0$', r'$\pi/2$', r'$\pi$', r'$3\pi/2$', r'$2\pi$'])
plt.grid(True, linestyle='-', alpha=0.3)
plt.legend(loc='lower left')
plt.show()